5月9日
泰安市教育局发布
2024年度泰安市市直及高新区学校
面向社会公开招聘教师面试资格审查公告
123人进入面试范围

2024年度泰安市市直及高新区学校面向社会公开招聘教师笔试成绩已在泰安市教育局网站(http://jyj.taian.gov.cn/)公布,请各位考生登录查询。按照《2024年度泰安市市直及高新区学校面向社会公开招聘教师简章》规定,现将本次公开招聘面试资格审查有关事项公告如下:
一、确定进入面试范围人选
按照招聘简章规定,从达到笔试合格分数线的应聘人员中,根据招聘岗位和招聘计划由高分到低分按1:3的比例确定面试人员,达不到1:3比例的岗位按实有合格人数确定进入面试人员。2024年度泰安市市直及高新区学校面向社会公开招聘教师笔试成绩合格分数线确定为40分。进入面试范围人员名单详见附件1。




二、现场资格审查
根据招聘简章规定,进入面试范围的应聘人员,需按招聘岗位要求,在规定时间内向招聘单位提交本人相关材料进行现场资格审查。经审查不合格的,取消其面试资格。因取消资格或自愿放弃造成的空缺,由招聘单位从达到笔试合格分数线的应聘人员中,按笔试成绩由高分到低分依次递补。
(一)资格审查时间
2024年5月13日—5月14日
上午8:30—11:30;下午2:00—5:00
(二)资格审查地点
泰安市教育科学研究院(泰安市岱岳区杏坛街2号)202、203会议室。
(三)资格审查要求
进入面试范围的应聘人员,应在规定的资格审查时间内持相关材料到指定的地点进行现场资格审查。现场资格审查应由应聘人员本人办理,确有特殊原因本人不能到场参加资格审查的,经招聘单位同意后可委托他人代为办理,提交应聘人员本人的书面委托书(载明委托事项和原因)及受委托人身份证原件及复印件。未在规定的资格审查时间内提交资料进行资格审查的,视为自动弃权。
(四)提交的材料
1.《2024年度泰安市市直及高新区学校面向社会公开招聘教师报名登记表》《笔试准考证》《应聘市直及高新区学校教师诚信承诺书》。
2.身份证(验原件留存复印件,正反面复印在同一纸面上)。
3.学历、学位证书(没有学位要求的可不提供学位证书,验原件留存复印件)。
国内普通高校2024年应届毕业生,尚未取得学历学位证书的,提供学校核发的就业推荐表(验原件留存复印件),并作出书面承诺书,承诺在招聘简章规定的时间前取得学历学位证书并提交。
符合教育部办公厅教研厅〔2016〕2号和教研厅函〔2019〕1号规定自2016年12月1日后录取且2024年毕业的非全日制研究生,尚未取得学历学位证书的,提供学校核发的就业推荐表或其他证明材料(验原件留存复印件),并作出书面承诺书,承诺在招聘简章规定的时间前取得学历学位证书并提交。
与国(境)内普通高校2024年应届毕业生同期毕业的留学回国人员需提供规定时间前取得学历学位证书、学历学位认证材料的承诺书;已取得国(境)外学历学位证书、但未获得教育部门认证的留学回国人员应聘的,还需提供国(境)外学历学位证书及有资质的机构出具的翻译资料,并作出在招聘简章规定的时间前取得国(境)外学历学位认证材料的书面承诺。
4.符合岗位要求的教师资格证(验原件留存复印件)。
普通高校2024年应届毕业生,与国(境)内普通高校2024年应届毕业生同期毕业的留学回国人员暂未取得教师资格证的须作出书面承诺书,承诺在办理聘用手续前取得教师资格证书并提交。
5.在职人员应聘的,须提交有用人权限部门或单位出具的《同意应聘介绍信》(见附件2)或已解除劳动(聘用)合同证明(按时出具同意应聘介绍信确有困难的,经招聘单位同意,可在体检时提供),未如期提供,视为放弃。
6.香港和澳门居民中的中国公民应聘的,还需提供《港澳居民来往内地通行证》;台湾学生和居民应聘的,还需提供《台湾居民来往大陆通行证》。
7. 岗位资格条件需要的其他资格证书及证明材料。
未尽事宜按招聘简章及应聘须知要求办理。
三、其他注意事项
1.应聘人员应提前准备相关材料,并保持所留联系电话通讯畅通,按时参加现场资格审查。更换联系方式的,应尽快与各招聘单位联系更改联系方式,因通讯不畅影响资格审查的,责任自负。如应聘人员放弃参加面试,应向招聘单位提交本人签名的放弃面试声明。
2.《2024年度泰安市市直及高新区学校面向社会公开招聘教师报名登记表》《应聘市直及高新区学校教师诚信承诺书》,可登录报名系统(https://qzpta39.chinasyks.org.cn/cn_tajtjgd/index.html#/index)下载打印。请应聘人员及时打印并妥善保存,以备后用。
3.资格审查合格的,需缴纳面试考务费70元,缴费采取微信或支付宝扫码支付,不收取现金。
4. 面试方式、时间、地点另行通知,请进入面试范围的应聘人员及时关注泰安市教育局网站公告,保持所留联系电话通讯畅通。
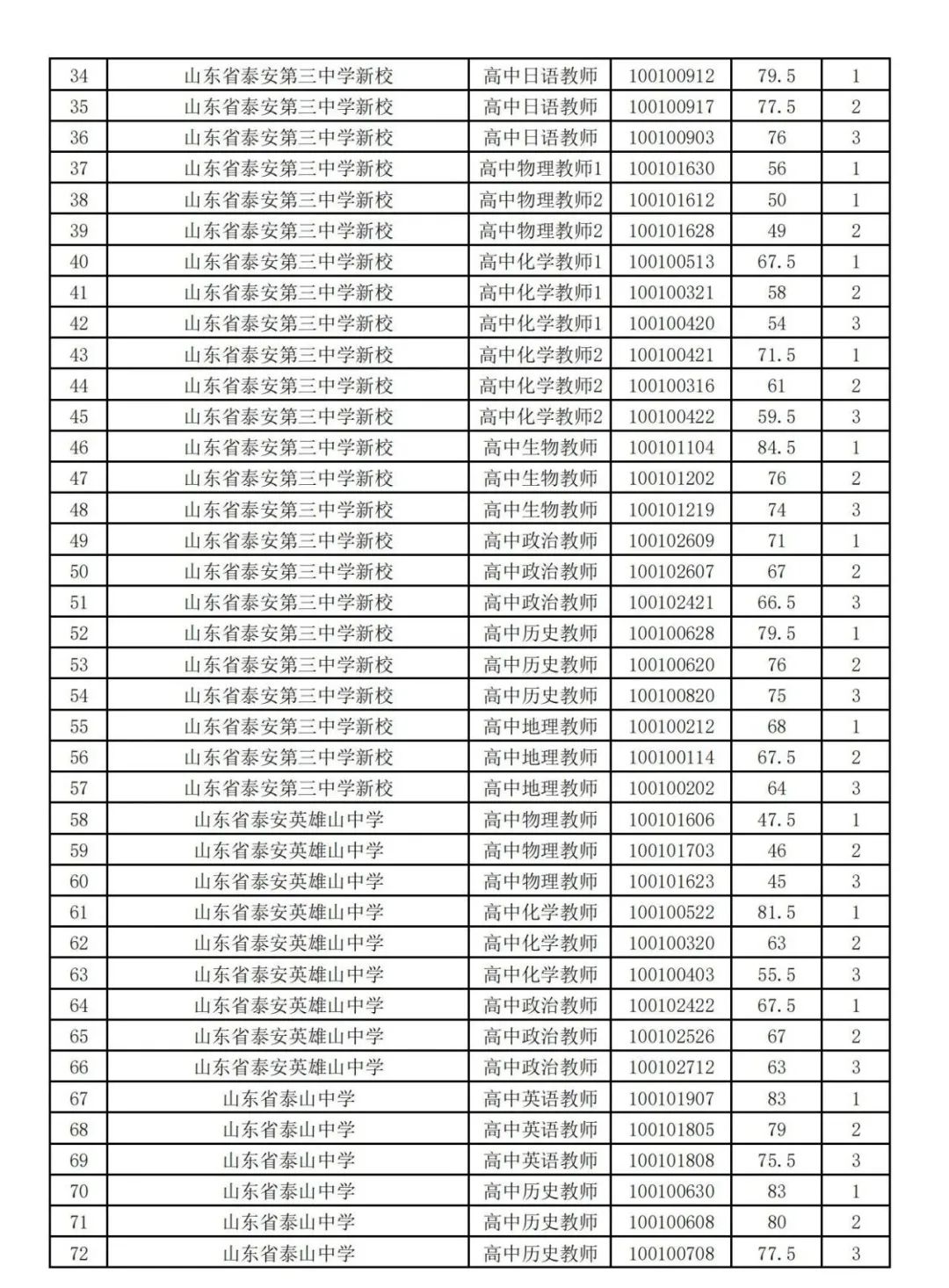
附件1:2024年度泰安市市直及高新区学校面向社会公开招聘教师进入面试范围人员名单
5月9日
泰山区人民政府网站发布
2024年度泰山区公开招聘教师
进入面试资格审查范围人员名单
501人进入名单


扫码查看
进入面试资格审查范围人员名单
来源:泰安市教育局、泰山区人民政府网站


热门评论 我要评论 微信扫码
移动端评论
暂无评论